地址:廣州市南沙區大崗鎮智新一路8號聯東U谷廣州南沙國際企業港7棟5樓
產品咨詢:13392693259
耗材電話:18998328368
售后服務:020-87684117
傳 真:020-87684846
Email:info@gdana.com
網址:http://www.9meifly.com/
原標題:固體廢物22種金屬元素的測定電感耦合等離子體發射光譜法
警告
實驗中使用的高氯酸、硝酸、過氧化氫具有強氧化性和腐蝕性,鹽酸、氫氟酸具有強揮發性和腐蝕性,操作時應按規定要求佩戴防護用品,溶液配制及樣品預處理過程應在通風櫥中進行操作。
1適用范圍
本標準規定了測定固體廢物及固體廢物浸出液中22種金屬元素的電感耦合等離子體發射光譜法。
本標準適用于固體廢物及固體廢物浸出液中銀(Ag)、鋁(Al)、鋇(Ba)、鈹(Be)、鈣(Ca)、鎘(Cd)、鈷(Co)、鉻(Cr)、銅(Cu)、鐵(Fe)、鉀(K)、鎂(Mg)、錳(Mn)、鈉(Na)、鎳(Ni)、鉛(Pb)、鍶(Sr)、鈦(Ti)、釩(V)、鋅(Zn)、鉈(Tl)、銻(Sb)等22種金屬元素的測定。若通過驗證,本標準也可適用于其他痕量金屬元素的測定。
固體廢物樣品量為0.25g,消解后定容體積為25.0ml時,22種金屬元素的方法檢出限為0.04mg/kg~8.9mg/kg,測定下限為0.16mg/kg~35.6mg/kg。固體廢物浸出液中22種金屬元素的方法檢出限為0.004mg/L~0.35mg/L,測定下限為0.016mg/L~1.40mg/L。詳見附錄A。
2規范性引用文件
本標準內容引用了下列文件或其中的條款。凡是不注明日期的引用文件,其有效版本適用于本標準。
GB5086.1固體廢物浸出毒性浸出方法翻轉法
HJ/T20工業固體廢物采樣制樣技術規范
HJ/T298危險廢物鑒別技術規范
HJ/T299固體廢物浸出毒性浸出方法硫酸硝酸法
HJ/T300固體廢物浸出毒性浸出方法醋酸緩沖溶液法
HJ557固體廢物浸出毒性浸出方法水平振蕩法
3方法原理
固體廢物或固體廢物浸出液經酸消解后,進入等離子體發射光譜儀的霧化器中被霧化,由氬載氣帶入等離子體火炬中,目標元素在等離子體火炬中被氣化、電離、激發并輻射出特征譜線。特征光譜的強度與試樣中待測元素的含量在一定范圍內呈正比。
4干擾和消除
4.1光譜干擾
光譜干擾主要包括連續背景和譜線重疊干擾。校正光譜干擾常用的方法是背景扣除法(根據單元素試驗確定扣除背景的位置及方式)及干擾系數法。也可以在混合標準溶液中采用基體匹配的方法消除其影響。
當存在單元素干擾時,可按公式(1)求得干擾系數。
通過配制一系列已知干擾元素含量的溶液,在分析元素波長的位置測定其'Q,根據公式(1)求出tK,然后進行人工扣除或計算機自動扣除。一般情況下,固體廢物及固體廢物浸出液樣品中各元素含量濃度較低,光譜和基體元素間干擾可以忽略。當各元素含量濃度較高時,目標元素測定波長光譜干擾及相關干擾系數見附錄D。注意不同儀器測定的干擾系數會有區別。
4.2非光譜干擾
非光譜干擾主要包括化學干擾、電離干擾、物理干擾以及去溶劑干擾等,在實際分析過程中各類干擾很難截然分開。是否予以補償和校正,與樣品中干擾元素的濃度有關。此外,物理干擾一般由樣品的粘滯程度及表面張力變化而致,尤其是當樣品中含有大量可溶鹽或樣品酸度過高,都會對測定產生干擾。消除此類干擾的最常見的方法是稀釋法以及標準加入法。標準加入法見附錄E。
5試劑和材料
除非另有說明,分析時均使用符合國家標準的分析純試劑,實驗用水為新制備的去離子水。
5.1濃硫酸:ρ(H2SO4)=1.84g/ml,優級純。
5.2濃硝酸:ρ(HNO3)=1.42g/ml,優級純。
5.3濃鹽酸:ρ(HCl)=1.19g/ml,優級純。
5.4氫氟酸:ρ(HF)=1.49g/ml,優級純。
5.5高氯酸:ρ(HClO4)=1.76g/ml,優級純。
5.6過氧化氫:φ(H2O2)=30%,優級純。
5.7硝酸溶液:1+1(v/v),用濃硝酸(5.2)配制。
5.8硝酸溶液:1+99(v/v),用濃硝酸(5.2)配制。
5.9鹽酸溶液:1+1(v/v),用濃鹽酸(5.3)配制。
5.10單元素標準貯備液:ρ=1000mg/L。可用高純度的金屬(純度大于99.99%)或金屬鹽類(基準或高純試劑)配制成1000mg/L含1%硝酸(5.8)的標準貯備液。也可購買市售有證標準溶液。
5.11單元素標準使用液。分別移取單元素標準貯備液(5.10)稀釋配制。稀釋時補加一定量的硝酸(5.7),使標準使用液的硝酸含量為1%。5.12多元素混合標準溶液。根據元素間相互干擾的情況和標準溶液的性質分組制備,其濃度應根據分析樣品及待測元素而定,標液的酸度盡量與待測試樣的酸度保持一致,均為1%的硝酸。多元素混合標準溶液分組情況見表1。
表1多元素混合標準溶液分組情況表
5.13氬氣:純度不低于99.99%。
6儀器和設備
6.1電感耦合等離子體發射光譜儀。
6.2微波消解儀:具有程序溫控功能,最大功率范圍600W~1500W。
6.3溫控電熱板:控制精度±2.5℃。
6.4分析天平:精度±0.0001g。
6.5聚四氟乙烯坩堝:50ml。
6.6聚四氟乙烯坩堝:100ml。
6.7篩:非金屬篩,100目。
6.8一般實驗室常用儀器和設備。
7樣品
7.1樣品采集與保存
按照HJ/T20和HJ/T298的相關規定進行固體廢物樣品的采集與保存。
7.2樣品制備
7.2.1固體廢物按照HJ/T20的相關規定進行固體廢物樣品的制備。對于固態或可干化的半固態樣品,準確稱取10g(m1,精確至0.01g)樣品,自然風干或冷凍干燥,再次稱重(m2,精確至0.01g),研磨,全部過100目篩(6.7)備用。
7.2.2固體廢物浸出液按照HJ557、HJ/T299、HJ/T300或GB5086.1的相關規定進行固體廢物浸出液的制備。浸出液如不能及時進行分析,應加濃硝酸(5.2)酸化(1L浸出液加入10ml硝酸(5.2)),并盡快消解,不要超過24h。
7.3試樣制備
7.3.1固體廢物試樣
7.3.1.1微波消解法
對于固態或可干化的半固態樣品,稱取0.1g~0.5g(m3,精確至0.0001g)過篩樣品(7.2.1);對于液態或無需干化的半固態樣品,直接稱取0.5g(m3,精確至0.0001g)樣品(含油固體廢物應適當少取)。置于微波消解罐中,用少量水潤濕后加入9ml濃硝酸(5.2)、2ml濃鹽酸(5.3)、3ml氫氟酸(5.4)及1ml過氧化氫(5.6),按照表2的升溫程序進行消解。微波消解后的樣品需冷卻至少15分鐘后取出,用少量實驗用水將微波消解罐中全部內容物轉移至50ml聚四氟乙烯坩堝(6.5)中,加入2ml高氯酸(5.5),置于電熱板上加熱至160℃~180℃,驅趕至白煙冒盡,且內容物呈粘稠狀。取下坩堝稍冷,加入2ml硝酸溶液(5.8),溫熱溶解殘渣。冷卻后轉移至25ml容量瓶中,用適量硝酸溶液(5.8)淋洗坩堝,將淋洗液全部轉移至25ml容量瓶中,用硝酸溶液(5.8)定容至標線,混勻,待測。
表2固體廢物微波消解參考升溫程序
7.3.1.2電熱板消解法
對于固態或可干化的半固態樣品,稱取0.1g~0.5g(m3,精確至0.0001g)過篩樣品(7.2.1);對于液態或無需干化的半固態樣品,直接稱取0.5g(m3,精確至0.0001g)樣品(含油固體廢物應適當少取)。置于聚四氟乙烯坩鍋(6.5)中,在通風櫥內,向坩鍋中加入1ml實驗用水濕潤樣品,加入5ml濃鹽酸(5.3)置于電熱板上以180℃~200℃加熱至近干,取下稍冷。加入5ml濃硝酸(5.2)、5ml氫氟酸(5.4)、3ml高氯酸(5.5),加蓋后于電熱板上180℃加熱至余液為2ml,繼續加熱,并搖動坩堝。當加熱至冒濃白煙時,加蓋使黑色有機碳化物分解。待坩堝壁上的黑色有機物消失后,開蓋,驅趕白煙并蒸至內容物呈粘稠狀。視消解情況,可補加3ml濃硝酸(5.2)、3ml氫氟酸(5.4)、1ml高氯酸(5.5),重復上述消解過程。取下坩堝稍冷,加入2ml硝酸溶液(5.8),溫熱溶解可溶性殘渣。冷卻后轉移至25ml容量瓶中,用適量硝酸溶液(5.8)淋洗坩堝,將淋洗液全部轉移至容量瓶中,用硝酸溶液(5.8)定容至標線,混勻,待測。
注3:有機質含量較高的樣品,需提前加入5ml濃硝酸(5.2)浸泡過夜。
7.3.2固體廢物浸出液試樣
7.3.2.1微波消解法
量取固體廢物浸出液樣品(7.2.2)25.0ml至微波消解罐中,加入5ml濃硝酸(5.2),按微波消解儀器說明裝好消解罐,按照表3的升溫程序進行消解。消解程序結束后,消解罐應在微波消解儀內冷卻至室溫取出。放至通風櫥內小心打開消解罐蓋,用少量實驗用水將微波消解罐中全部內容物轉移至100ml聚四氟乙烯坩堝(6.6)中,在電熱板上以180℃加熱消解1小時,取下坩堝稍冷。轉移至25ml容量瓶中,用適量硝酸溶液(5.8)淋洗坩堝,將淋洗液全部轉移至25ml容量瓶中,用硝酸溶液(5.8)定容至標線,混勻,待測。
表3固體廢物浸出液微波消解參考升溫程序
7.3.2.2電熱板消解法
量取固體廢物浸出液樣品(7.2.2)25.0ml于100ml聚四氟乙烯坩堝(6.6)中,加入5ml濃硝酸(5.2),在電熱板上于180℃加熱消解1~2小時。若有顆粒物或沉淀,需滴加濃硝酸(5.2)2ml繼續加熱消解,直至溶液澄清。用適量硝酸溶液(5.8)淋洗坩堝,將淋洗液全部轉移至25ml容量瓶中,用硝酸溶液(5.8)定容至標線,混勻,待測。
7.3.3空白試樣的制備
7.3.3.1固體廢物空白不加樣品,按與試樣制備相同的操作步驟(7.3.1)進行固體廢物空白試樣的制備。
7.3.3.2固體廢物浸出液空白使用實驗用水配制成浸提劑,按照與固體廢物浸出液樣品制備(7.2.2)相同的步驟進行固體廢物浸出液空白的制備,按照與固體廢物浸出液試樣制備(7.3.2)相同的步驟進行消解。
8分析步驟8.1儀器參考測量條件不同型號的儀器最佳測試條件不同,根據儀器說明書要求優化測試條件。儀器參考測量條件見表4。
表4儀器參考測量條件
點燃等離子體后,按照廠家提供的工作參數進行設定,待儀器預熱至各項指標穩定后開始進行測量。
8.2校準曲線的繪制
依次配制一系列待測元素的標準溶液,可根據實際樣品中待測元素濃度情況調整校準曲線的濃度范圍。分別移取一定體積的多元素混合標準溶液(5.12),用硝酸溶液(5.8)配制系列標準曲線,參考濃度見表5。將標準溶液由低濃度到高濃度依次導入電感耦合等離子體發射光譜儀,按照儀器參考測量條件(8.1)測量發射強度。以目標元素系列質量濃度為橫坐標,發射強度值為縱坐標,建立目標元素的校準曲線。
表5標準系列溶液參考濃度單位:mg/L
8.3測定
8.3.1試樣測定
分析前,用硝酸溶液(5.8)沖洗系統直到空白強度值降至最低,待分析信號穩定后,在與建立校準曲線相同的條件下分析試樣(7.3)。試樣測定過程中,若待測元素濃度超出校準曲線范圍,試樣需稀釋后重新測定。8.3.2空白樣品的測定按照與試樣測定相同的操作步驟測定空白試樣(7.3.3)。
9結果計算與表示
9.1結果計算
9.1.1固體廢物
9.1.1.1固態或可干化半固態固體廢物
固體廢物中金屬元素的含量ω(mg/kg)按公式(2)計算:

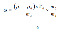
9.1.1.2液態或無需干化的半固態固體廢物
固體廢物中金屬元素含量ω(mg/kg)按公式(3)計算:
9.1.2固體廢物浸出液
固體廢物浸出液中金屬元素濃度ρ(mg/L)按公式(4)計算:
9.2結果表示
測定結果小數位數與方法檢出限保持一致,最多保留三位有效數字。
10精密度和準確度
10.1精密度
六家實驗室分別對固體廢物中22種金屬元素全量濃度為0.08mg/kg~3.33×104mg/kg(底質標準樣品GSS-9)、25.5mg/kg~1.7×105mg/kg(固廢標準樣品ISS-2)、0mg/kg~3.3×105mg/kg(固廢標準樣品ISS-1)的標準樣品進行了6次測定,實驗室內相對標準偏差范圍分別為:0.6%~18.4%、0.3%~20.4%,0.7%~12.0%;實驗室間相對標準偏差范圍分別為:0.2%~9.3%、0.1%~10.1%、1.4%~7.6%;重復性限范圍分別為:0.03mg/kg~1.1×103mg/kg、0.1mg/kg~9.8×103mg/kg、0.20mg/kg~1.1×104mg/kg;再現性限范圍分別為:0.03mg/kg~1.1×103mg/kg、0.2mg/kg~1.0×104mg/kg、0.2mg/kg~1.3×104mg/kg。
六家實驗室分別對固體廢物中22種金屬元素浸提液濃度為0mg/L~108mg/L(底質標準樣品GSS-9)、0mg/L~160mg/L(固廢標準樣品ISS-2)、0mg/L~243mg/L(固廢標準樣品ISS-1)的樣品進行了6次測定,實驗室內相對標準偏差范圍分別為:1.0%~33.8%、1.1%~22.6%、1.5%~30.3%;實驗室間相對標準偏差范圍分別為:0.1%~8.8%、1.4%~12.1%、1.4%~28.2%;重復性限范圍分別為:0.02mg/L~37.9mg/L、0.02mg/L~43.4mg/L、0.02mg/L~30.3mg/L;再現性限范圍分別為:0.02mg/L~41.0mg/L、0.02mg/L~46.1mg/L、0.02mg/L~46.9mg/L。
10.2準確度
六家實驗室分別對金屬元素含量為0.077mg/kg~3.3×104mg/kg(底質標準樣品GSS-9)和0.00mg/kg~1.7×105mg/kg(固廢標準樣品ISS-2)的固體廢物有證標準樣品進行了測定,22種金屬元素的相對誤差分別為:-1.3%~15%、-3.2%~2.6%;相對誤差最終值分別為:(-1.3±7.0)%~(15±20)%、(-3.2±1.6)%~(2.6±3.4)%。
六家實驗室對固體廢物實際樣品進行浸提液加標回收實驗,加標濃度為1.0mg/L~50.0mg/L,對應22種金屬元素的加標回收率范圍為:76.3%~109%,加標回收率最終值范圍為:(84.7±12.2)%~(100±15.6)%。
精密度和準確度結果統計見附錄B、附錄C。
11質量保證和質量控制
11.1空白實驗
每批樣品至少做1個實驗室空白,所測元素的空白值不得超過方法測定下限。若超出則須查找原因,重新分析直至合格之后才能分析樣品。
11.2校準每批樣品分析均須繪制校準曲線,校準曲線的相關系數應大于或等于0.995。每分析50個樣品須用一個校準曲線的中間點濃度標準溶液進行校準核查,其測定結果與最近一次校準曲線該點濃度的相對偏差應≤10%,否則應重新繪制校準曲線。
11.3精密度、準確度控制
11.3.1平行雙樣測定
每10個樣品做1個平行雙樣,樣品數量少于10個時,應至少測定一個平行雙樣,各元素測定結果的實驗室內相對標準偏差應小于35%。
11.3.2準確度控制
對實際樣品進行全量測定時每批樣品需帶固體廢物有證標準物質,其測定結果應在給出的不確定范圍內。對實際樣品進行浸出液測定時,以加標控制準確度,其加標回收率范圍應在70%~120%之間。
12廢物處理
實驗中產生的廢物和廢液應分類收集和保管,并送具有資質的單位處理。
13注意事項
13.1實驗中使用的坩堝和玻璃容器均需用硝酸溶液(5.7)浸泡12h以上,用自來水和實驗用水依次沖洗干凈,置于干凈的環境中晾干。新使用或疑似受污染的容器,應用熱鹽酸溶液(5.9)浸泡(溫度高于80℃,低于沸騰溫度)2h以上,并用熱硝酸溶液(5.7)浸泡2h以上,用自來水和實驗用水依次沖洗干凈,置于干凈的環境中晾干。
13.2儀器點火后,應預熱30min以上,以防波長漂移。
13.3含量較低的元素,可適當增加樣品稱取量或減少定容體積,也可將消解液濃縮后測定。
附錄A(規范性附錄)各元素方法檢出限和測定下限
附表A方法的檢出限和測定下限
附錄B(資料性附錄)方法的精密度
附表B.1、B.2、B.3為固體廢物的精密度數據匯總表,附表B.4、B.5、B.6為固體廢物浸出液的精密度數據匯總表。
表B.1固體廢物精密度