地址:廣州市南沙區大崗鎮智新一路8號聯東U谷廣州南沙國際企業港7棟5樓
產品咨詢:13392693259
耗材電話:18998328368
售后服務:020-87684117
傳 真:020-87684846
Email:info@gdana.com
網址:http://www.9meifly.com/
2022.11.15
方便面雖然是不健康食品,但是大家還是忍不住吃一頓解解饞。偶爾解饞尚可,切記不可過量。方便面中的醬包含有大量油脂,都是飽和脂肪酸,經常食用會對人體產生明顯的危害,以及方便面中的粉包含有大量的鹽和味精,過量食用會容易得高血壓。還有面餅是經過油炸的,油脂滲透了面餅里。索氏萃取法是我國大部分現行國家標準所規定的脂肪抽提標準方法,而格丹納的FT-660全自動索氏脂肪測定儀是按照傳統索氏萃取法進行設計的抽提設備。因此,本方案通過FT-660全自動索氏脂肪測定儀對方便面面餅中脂肪含量進行測定。

萬分之一電子分析天平
冷卻循環水機
樣品濾筒

(4).萃取:將前處理后的樣品,放入纖維素濾筒內,并覆蓋上一層脫脂棉,再放入樣品濾筒;加入抽提溶劑50mL,開啟冷水機,啟動脂肪測定儀。設置循環次數20次,回流時間2.5h、萃取溫度95℃,進行萃取。預干燥15min。

(FT-660全自動索氏脂肪測定儀)
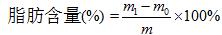
增重法計算脂肪含量:
結果分析